Electric vehicles benefit fleets by having much lower fuel and maintenance costs and significantly reduced emissions. However, operating an electric vehicle requires drivers and fleet managers to be knowledgeable about vehicle range and charging.. One of the most important issues to be aware of is how EV range and charging speed can be significantly affected by the temperature.
The effect is especially pronounced in the cold. As you'll see in more detail below, an electric vehicle can experience up to 40% reduced range and 36% reduced charging speed in freezing temperatures.
In this article, we'll dive into how range and charging speed changes at different temperatures, why this happens, and how to mitigate the effects.
How much can temperature affect range and charging speed?
To start, let's look at the numbers – how much of an impact should you expect?
Range
Geotab analyzed real-world range data from more than 4,000 EVs to quantify the effects. The chart below compares rated range to real-world range as a function of temperature:

The effects can be grouped into a few buckets:
Most places in the US don't go over 90º F very often, so for most fleets winter temperatures are the ones to watch out for. Let's look at average winter temperatures in a few states, based on data from the National Oceanic and Atmospheric Administration (NOAA):
As you can see, in colder areas like New York and Illinois, it's critical to factor in temperature when planning your EV operations.
Charging
Charging speed is also affected by temperature. As with range, the most pronounced effect is when it's cold, but very hot temperatures can cause issues as well.
Unfortunately, there isn't as much data about the impact of temperature on charging as there is about range. The most significant results so far are from "Empirical Analysis of Electric Vehicle Fast Charging under Cold Temperatures", a 2018 study by the Idaho National Laboratory. This study analyzed data from Nissan LEAF vehicles using 50 kW chargers and found that cold temperatures significantly reduced charging speed.
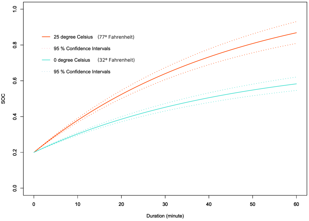
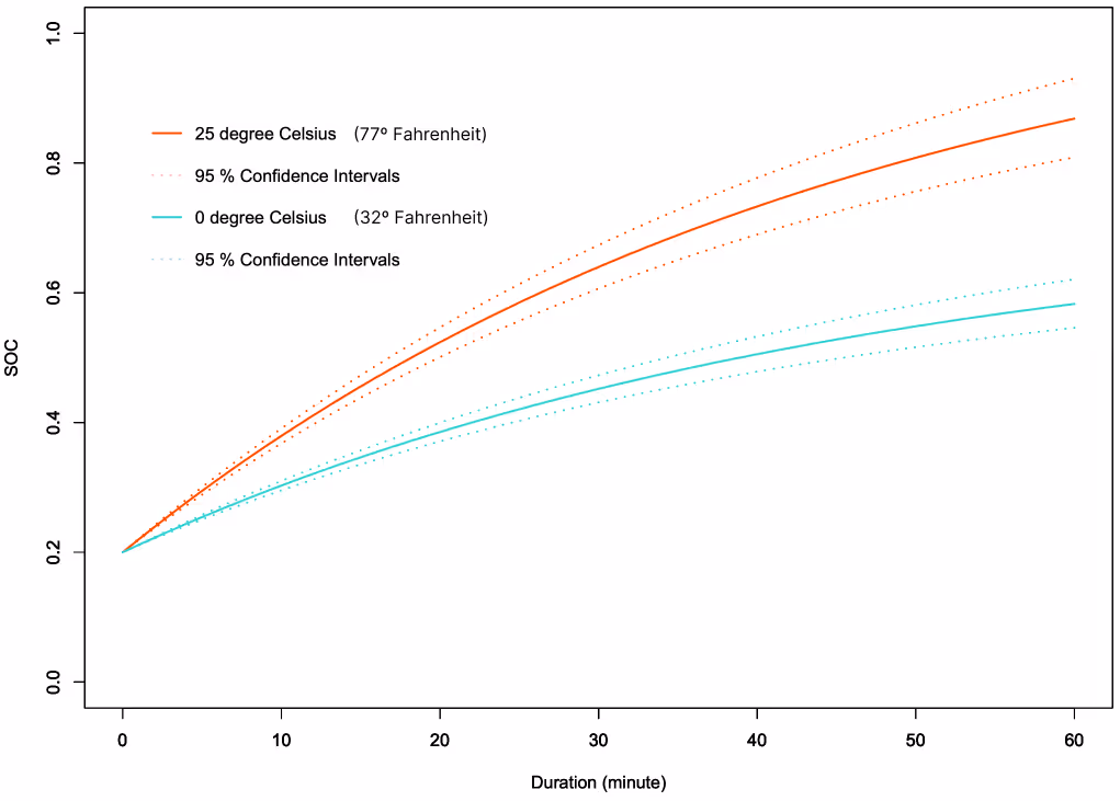
Here is a comparison of charging at 32º F vs. 77 ºF:

As you can see, at 32º F, the resulting state of charge after 60 minutes is around 36% lower than at 77º F. While this study only used Nissan LEAF EVs and one specific type of charger, it suggests that charging is meaningfully slower in cold weather. (For the underlying math on charging time and power, see our guide to calculating charging time and power for an EV.)
Why does this happen?
It's helpful for fleets to understand where these effects come from in order to plan for them and apply mitigation measures. Here's an overview of the causes of reduced range and charging speed in hot and cold weather:
All of the factors above combine to reduce efficiency of electric vehicles in hot weather, and especially in cold weather. While some of these, like increased air resistance and tire-to-road friction, also apply to gas and diesel vehicles, the specifics of battery chemistry and heating in EVs make the effect more pronounced.
The effects of decreased range and reduced charging speed can stack
It's important to note that the effects on range and charging speed can combine together to create an even larger effect. Cold weather is likely to result in decreased range, higher energy usage, and slower charging, all at the same time.
For example, let's say it's freezing outside. If your vehicle uses 15% more energy due to heating, increased air resistance, and increased tire-to-road friction, and charging is 30% slower due to battery chemistry, then overall it will take 50% longer to charge your EV for the same trip (1.15 × 1.3 = 1.495).
Mitigating the impacts of temperature on EVs
In addition to all of the regular methods to conserve energy, like avoiding hard braking or fast acceleration, there are a few things specific to cold temperatures that can help a fleet get the most out of its EVs:
- Keep your vehicle parked in a temperature-controlled garage, so it doesn't have to heat up from a freezing temperature when it's time to drive it.
- Check tire pressure regularly, so that your tires don't become under-inflated from the cold weather.
- Plan ahead and adjust driving routes and schedules based on the expected temperature, so that you are prepared for these effects. Fleet management software can fold weather-adjusted range into route and charging plans automatically.
- Some vehicles, for example Tesla cars, include "battery conditioning" systems that preheat your battery if you're heading to a charger. Make sure to use these features to improve operations in the winter.
Different vehicle models may have different types of technologies like smarter battery heating or cooling systems, so the range effects may differ by vehicle make and model. Recurrent's research on winter EV range loss compares how different EV models hold up in the cold. If you expect to operate in winter weather, consult with your EV manufacturer to see what options are available.
Planning EV fleet operations around temperature
Overall, electric vehicles generally reduce fuel costs, need less maintenance, and are much better for the environment. However, fleet managers and drivers need to be aware of the effects of temperature on EV performance, especially in colder areas.
If you're in an area where the temperature often dips to 40º F and below, you'll need to adjust your routes and EV utilization in the colder months of the year to account for shorter range and longer charging times. It's also important to account for this when planning out your EV deployment, to avoid surprises.
Cold-weather range and charging losses compound across a season. Flipturn's hardware-agnostic platform tracks vehicle state of charge, charging speed, and energy use across your sites so you can spot the deltas, adjust routes, and stay on schedule when temperatures swing. See how Spokane Transit runs an electric bus fleet through Pacific Northwest winters in our Spokane Transit case study, or book a demo to see the platform.



